Banner image placeholder
Banner image
Site avatar
Swetamber Das
Dynamical Systems theorist @ SRM-AP

Curriculum vitae


Assistant Professor of Physics

SRM University, AP (India)

Mangalagiri - Mandal,
Neeru Konda,
Amaravati - 522502,
Andhra Pradesh (India).



Research


Current research interests

Classical density matrix theory for deterministic systems

The growth rate of a perturbation vector on a state space trajectory (here the Lorenz-Fetter attractor) is bouned by classical Fisher information.

I am currently focused on developing a classical density theory that draws remarkable parallels with the density matrix formulation of quantum mechanics. Our theory is designed to ensure norm-preserving dynamics and is applicable to both Hamiltonian and dissipative systems.
One major finding of this theory is that it has allowed us to obtain first time-information uncertainty relations for deterministic systems, including those that are relevant to Lyapunov exponents and phase space dissipation rate. This theory also leads to the maximum speed on thermodynamic entropy production with deep connections with deterministic fluctuation theorems.
An interesting new element that has emerged from this work is a classical Fisher information specifically tailored for deterministic differentiable dynamics analogous to quantum Fisher information. This information measure directly connects the phase space geometry with the instability of a dynamical system.

Past research

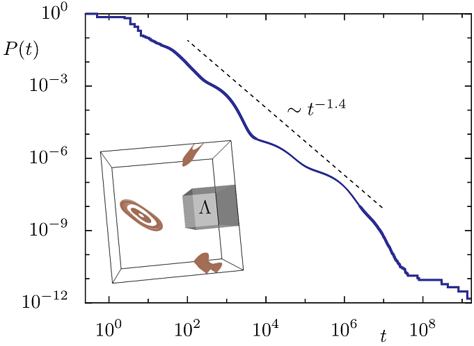
Stickiness in volume-preserving maps

Poincaré recurrence statistics P(t) for the Arnold-Beltrami-Childress map shows power-law decay. It shows the existence of partial barrier to tansport in the state space of the system.
Chaotic trajectories in volume preserving maps are often trapped in some specific regions of phase spaces for arbitrary long but finite times. Transport in chaotic systems is known to be influenced by the existence of such trapping regimes in phase space. The behavior of stickiness in a mixed phase-space is usually characterized by the (cumulative) Poincaré recurrence statistics P(t), the probability that a chaotic orbit has not returned on an initial region within time t. A fully chaotic system generally shows an exponential decay of P(t). However, a non-uniform phase space displays a much slower decay which has a power-law form $P(t) ∼ t^−γ$ and therefore, referred to as power-law trapping. The generic mechanism of this power-law trapping in higher-dimensional chaotic systems is significant and challenging open question.

In collaboration with Prof. Arnd Bäcker (TU Dresden), I studied power-law trapping of chaotic trajectories in three-dimensional volume-preserving systems using the example of the Arnold-Beltrami-Childress (ABC) map. We characterize the behavior of stickiness via Poincaré recurrence statistics and observe a power-law decay. With a frequency based numerical analysis in state and frequency spaces, we have already identified the origin of oscillations in the power-law decay curve and a good understanding of illusive partial barriers to transport. 

 Gene expression through competition for regulatory protein resources

Repressilator in the presence of decoy binding sites.
For this project, we utilized dynamical systems theory to developed a kinetic model for protein resource competition that yields an additional layer for gene regulation within a cell. Through this work, I challenged the conventional assumption that these sites were non-functional and demonstrated their regulatory role in three fundamental gene regulatory motifs: autoregulator, toggle switch, and repressilator.

Synchronization in coupled area-preserving maps

This project (part of my doctoral thesis) was focused on the problem of synchronization of coupled Hamiltonian systems presents interesting features due to the mixed nature (coexistence of regular and chaotic trajectories) of the phase space. I studied these features by examining the synchronization of unidirectionally coupled area-preserving maps coupled by the Pecora-Caroll method in the master stability function framework.  Additionally, I also analyzed the consequences of non-uniformity of mixed phase space for dynamical properties such as the emergence of coherent structures and phase slips in such coupled systems. 

Dynamics and transport of impurities in volume preserving flows

For this work (part of my doctoral thesis), I investigated the dynamics and transport properties of inertial particles  in three-dimensional incompressible maps, as representations of volume-preserving flows. I modeled the impurity dynamics, in the Lagrangian framework, by a six-dimensional dissipative bailout embedding map. One central aspect of my research involved studying the consequences of mixed nature of the phase space for diffusion and transport of inertial impurity particles immersed in a chaotic fluid flow.
Share

Translate to